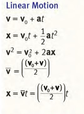
Linear Motion Formulas

circular motion equations for a & F

Work-Energy theorm
work performed by all forces acting on a body equal the change in E
Thermal expansion
Linear and Volume
Linear expansion: the increase in length by most solids when heated
“when T increases, length increases a LOT”
Volume expansion: increase in volume of fluids when heated

conduction vs convection
conduction: direct transfer of E via molecular collisions
convectoin: transfer of heat by physical motion of a fluid
specific heat and heat of transformation
specific heat: Q= mcΔT (only be used to find Q when object doesn’t change phase)
heat of transformation: quantity of heat required to change phase of 1g of substance
Q=mL
(L = heat of fusion/vaporization etc)
Bernoulli’s equation
P + 1/2ρv2 + ρgh = constant
Archimedes principle
Fbuoy = ρfluid*g*Vsubmerged
Pascal’s principle
a change in pressure applied to an enclosed fluid is transmitted undiminished to every portion of the fluid and to the walls of the containing vessel

Coulomb’s Law
F = kq1q2/r2
electrical potential energy (U) formula
U = q∆V = qEd = kQq/r [SI units: J]
Voltage
Voltage = W/q = kQ/r
Current
flow of electric charge
I=Q/t
Ohm’s Law
V=IR
Resistance
opposition to flow of charge
R = ρL/A (Resistance increases with increasing temperatures with most conductors.)
Kirchhoff’s Laws
Series vs Parallell Circuits R, V, I
SERIES: in series, I is the same. THINK SI units
Req= R1 + R2 + R3
VT= V1 + V2 + V3
IT= I1= I2 = I3
PARALLEL: in parallel, V is same THING VP
1/Req= 1/R1 + 1/R2 + 1/R3
VT= V1 = V2 = V3
IT= I1 + I2 + I3
Power dissipated by resistors
P=IV=V2/R=I2R
Capacitance
ability to store charge per unit voltage
C=Q/V
C=A/d
capacitors in parallel add: Ceq=C1+C2+C3
capacitors in series add as reciprocal
Energy stored by capacitors

standing waves formula for wavelength
λ = 2L/n (n = 1, 2, 3…)
this is the same in open pipes
IN CLOSED PIPES: λ = 4L/n (n = 1, 2, 3…)
antinode=peak
node= 0 displacement
doppler effect

refraction formula and snell’s law
n=c/v
Snell: : n1sin θ1 = n2 sin θ2. When n2 > n1, light bends toward the normal; when n2 < n1, light bends away from the normal.
magnification
m=-i/o
when m is +: ERECT image
when m is -: INVERTED image