what is the uncertainty of a piece of equipment?
half of its resolution
how to find the uncertainty of something you’ve had to add values to find?
if you add 2 readings together, you add the 2 uncertainties
what is the margin of error?
the area between the 2 uncertainties on either side of the reading, the true reading lies within this area. e.g. 50 cm with uncertainty of ± 0.5 the margin of error will lie between 49.5 and 50.5
its the size of the resolution
what is the percentage error?
uncertainty/ reading X 100
what is magnification?
size of image / size of real object
what will the null hypothesis always be?
there will be no significant difference between what’s being measured / no correlation
what does it mean if p≤0.05?
it is unlikely that the difference/ correlation is due to chance.
you can reject the null hypothesis. so the result is significant
what does it mean if p>0.05?
insufficient proof to reject null hypothesis, still relatively high chance difference / correlation is due to chance
What does it mean if your chi-squared value ≥ critical value at p = 0.05?
probability that difference in results is due to chance is
the difference between observed and expected values is significant and there is insufficient evidence to reject null hypothesis
What does it mean if your chi-squared value < critical value at p = 0.05?
probability that difference in results is due to chance is > 5%
the difference between observed and expected values is not significant and there is sufficient evidence to reject the null hypothesis
when can chi-squared be used?
when the data is about frequencies for different categories
the data is independent
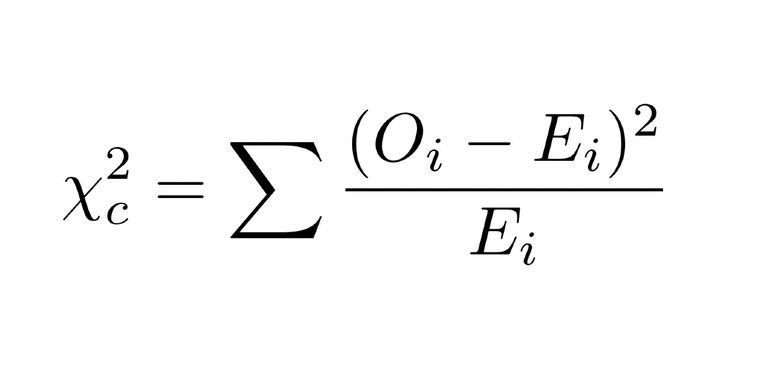
what is the chi-squared equation?

what are the different correlation coefficients?
Pearson’s correlation coefficient
Spearman’s rank correlation coefficient
what does Pearson’s correlation coefficient allow you to do?
work out the degree to which 2 sets of continuous data are correlated. using data that isn’t ranked
what does Spearman’s rank correlation coefficient do?
it involves ranking variables in size order. this means you can only use it when both variables can be put in size order
what is the formula for Spearman’s rank correlation coefficient?
n = number of observations
d = difference between ranks

how to work out d for spearmen’s rank?
rank the 2 sets of variables being compared from 1 to n, with the smallest being ranked the same in both sets.
how to determine whether a spearman’s rank correlation is significant?
find the critical value using the probability level (p) and number of observation (n). if Rs ≥ critical value then the correlation is significant and the null hypothesis can be rejected.
what does an unpaired student’s t-test tell you?
if the difference between the means of 2 groups of different individuals is significant
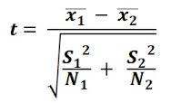
what is the formula for an unpaired student’s t-test?
x̄ = mean
s = standard deviation
n = number of values in data set

when can an unpaired student’s t-test be used?
when the data is:
in 2 categorical groups
from different individuals (independent)
interval data - data measured on the same scale, where each unit is the same size
how to work out the degrees of freedom for an unpaired t-test?
df = n1 + n2 - 2
How can you tell if a t value is signifcant?
t ≥ critical value, the difference between the 2 means is significant, the null hypothesis can be rejected
what does a paired t-test tell you?
whether the means of 2 sets of data that have come from the same individuals are significantly different