find dy/dx
y = ln6x9
simplify to get an expression in terms of lnx
ln6x9 = 9ln6x= 9(lnx +ln6) = 9lnx + 9ln6
dy/dx = 9/x
find dy/dx
y= sin2x
this is a composite function (a function of a function) so we apply the chain rule
let u = sinx so y = u2
du/dx = cosx
dy/du = 2u
dy/dx = dy/du x du/dx = 2u cos x
substitute u = sinx back in:
dy/dx = 2sinxcosx
differentiate y=tanx

prove that if y=secx dy/dx = secxtanx

prove that if y = cosecx, dy/dx= - cosecx cotx

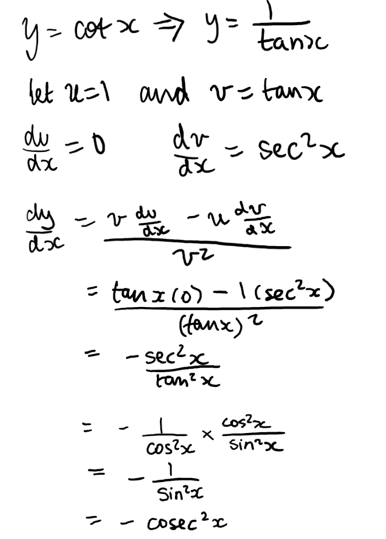
prove that if y=cotx, dy/dx=-cosec2x

if y=arcsinx find dy/dx

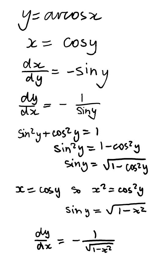
if y=arcosx find dy/dx

if y = arctanx find dy/dx

what does it mean if a tangent is parallel to the y-axis
has infinite gradient so if dy/dx is in the form u/v, the denominator = 0
dx/dy=0